高考结束之后各地区会陆续公布高考分数线了,大家最想知道的是高考录取分数线了,那么你知道今年湖南的高考分数线吗?以下是小编整理的2026年湖南高考一分一段表出炉,希望可以提供给大家进行参考和借鉴。
2026年湖南高考一分一段表出炉



















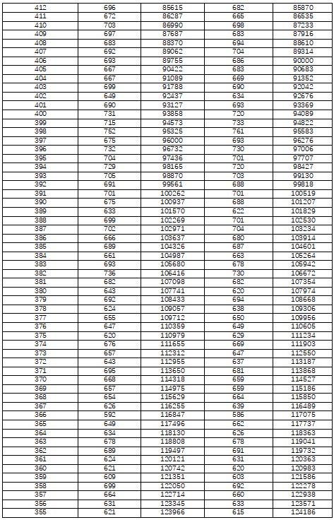
2026年湖南高考一分一段表






分析自己的性格及兴趣
第一,要了解自己的兴趣
据专家研究表明,如果一个人对某种工作有兴趣,他能发挥其全部才能的80%~90%,并且能长时间保持高效率而不知疲惫。相反,如果他对某种工作没有兴趣,则只能发挥全部才能的20%~30%,还容易精疲力竭。所以在进行专业选择时,对于自己兴趣的考查,主要看当前潜在的职业兴趣和对各门学科的学科兴趣。
第二,要认识自己的性格
性格对专业选择的影响,相对来说不起主要作用,但是,在选择专业之前对自己的性格有所了解,对今后选择和专业有关的职业是很有必要的。一些心理学家建议:热情、善于言谈的学生,比较适合选择师范、法律、旅游等专业和职业;细心、同情心强的学生,适合选择医生专业;独立性、自制力、坚持性果断性强的学生,宜选择工科类的专业;组织协调能力俱佳的学生,宜选择财经、管理、数理等专业。
根据霍兰德教授六角型职业人格的划分,人的性格可分为研究型、工具型、艺术型、管理型、服务型和事务型。
研究型性格:乐于解决抽象问题,喜欢运用词、符号和观念来进行工作。好奇,宁愿思考问题而不愿意动手去处理问题。喜欢独立的和富有创造性的工作。不愿意受人督促,也不愿意督促别人。
工具型性格:愿意从事“看得见、摸得着”的工作。喜欢使用工具,特别喜欢操作大型机器。做起事来手脚灵活、动作协调。但不善言辞交际,在社交场合往往觉得很不自在,最不喜欢教育工作与接待他人的工作。
艺术型性格:喜欢能以写作、作曲、绘画、摄影、建筑等各种艺术形式表现自己的工作环境。乐于创造新颖的与众不同的东西。比较敏感,喜欢独立工作,而不过多关心社会纠纷。对单调的或经营性的工作不感兴趣。
管理型性格:喜欢竞争,敢冒风险,精力充沛,乐观自信,善于交际,能说会道,具有领导才能。喜爱权力、地位与物质财富。一般不擅长科学研究,对系统而复杂的思维工作很不耐烦。
服务型性格:喜欢从事为人服务和教育他人的工作,喜欢参与解决社会问题。善于交际,人际关系很融洽,渴望发挥自己的社会作用。一般缺乏技术特长,不喜欢从事需要运用劳动工具的工作。
事务型性格:喜欢按计划办事,乐于完成指令性任务。总希望知道别人期望他干什么,自己从不谋求领导职务。不喜欢冒险,对复杂的人际关系不感兴趣。
理科男生若是研究型性格,可选经济学、金融学等;工具型可选金融工程、侦查学等;艺术型可选农艺教育、印刷工艺教育等;管理型可选国际经济与贸易、贸易经济等;事务型可选保险、信用管理等;服务型可选保险、信用管理等。
文科男生若是研究型性格,可选哲学、经济学等;工具型可选医学校验技术、医学影像技术等;艺术型可选电脑艺术设计、影视编导等;管理型可选国际经济贸易、中文等;事务型可选文秘、会计等;服务型可选空中乘务、航空服务等。
理科女生若是研究型性格,可选经济学、金融学等;工具型可选文物保护技术、地理科学等;艺术型可选农艺教育、园艺教育等;管理型可选国际经济与贸易、贸易经济等;事务型可选保险、税务等;服务型可选社会工作、国际事务等。
文科女生若是研究型性格,可选经济学、教育学等;工具型可选口腔医学、医学校验技术等;艺术型可选中文、外语等;管理型可选中文、历史等;事务型可选商务英语、国际贸易等;服务型可选空中乘务、航空服务等。
第三,澄清自己的职业价值观
职业价值观在选择专业时是个较为复杂的因素,它既受社会文化环境、性别和年龄等方面的影响,又受个人的性格、兴趣等内在的影响。一般说来,职业价值观与理想基本是一致的,但无论是以什么专业作为理想专业的人,职业价值体系中均应以充分体现自己的兴趣,发挥个人能力及个性为第一位,然后,再考虑一些外在因素,如这个专业将来对应职业的工资、社会地位、稳定性等。在进行专业选择时,考生家庭中的成员最好就这个方面的问题进行认真的讨论,澄清个人和家庭的核心职业价值观是什么,再作出专业和将来的职业选择。
第四,考生需要考虑自己的能力水平能否达到该专业的学习要求
考生对自己的能力要有一个充分的了解,知道自己能够在哪方面取得成就。能力可以分为一般能力和特殊能力。一般能力包括观察力、记忆力、注意力、思维力、想像力等,它是人们从事一切需要一定智力水平活动的必要条件。特殊能力是在特殊活动中发生作用的能力,如绘画、作曲等。可见,个人能力与专业的关系是相当密切的。
具体在选择专业填报志愿时,考生需要知道的是,有些专业是需要考生具备一些特殊能力才能报考和学习的,如美术、音乐、表演等。但是就其他大部分专业来说,对学生能力的要求是不超出一般范围的。另外,在学生所处年龄这个阶段,可以说,他们能力发展的空间是相当大的,尤其进入大学阶段后,随着眼界的扩大,知识的扩展、锻炼能力机会的增加,他们的能力会不断得到提高,所以,在专业选择时,虽然能力是一个需要考虑的因素,但是不宜作为一个绝对化的考虑因素。
从另一个角度来说,事实上,我国的高考制度经过近几年的改革,已越来越表现为是对学生进行综合素质考察,也可以说主要对学生进行的是基本学习能力的测试,只不过高考这种能力测试是隐含在各门学科的考试中的,例如语文考试,主要测查的就是学生的语言表达能力、辨证思维能力等。而考生的高考成绩,既在一定程度上反映了学生当前各科知识积累和学习能力状况,同时在我国目前的招生政策下,也决定了考生能否顺利升入大学,学习自己感兴趣的专业,因此,在选择专业,填报志愿时,考虑到能力的因素,主要的参照点还是学生的高考成绩。
到底是先选专业还是先选学校,是让考生及家长一直拿不准、辨不清的问题,是优先考虑学校还是专业,上了好学校,专业不喜欢就业前景不理想,怎么办?为了学个好专业掌握热门技能,只能退而求其次选了二流大学,却发现名校文凭才是就业“敲门砖”。选院校和选专业,哪个优先的问题,主要要看考生具备什么样的实力。专家建议:
如果你是高分考生,这样有实力可以在院校和专业上都选,即选好院校又选他认为好的专业;如果你成绩中等,建议还是以选院校为主,尽量进一个实力强的院校;对于分数稍微低一些的考生,就应该以选择专业为主,从就业角度去考虑,尤其是一些专科层面的,这个批次的考生,尽量考虑专业,学一个自己擅长的,或者适合自己的专业,将来的就业渠道或者就业的压力就会小一些。
院校优先:
(一)好学校的好处
好处一、名校光环让你赢得尊敬 自信
社会尊荣感,名校有很多光环,当你出去自报家门的时候,报出自己母校名字的时候,母校的名字首先就会给你界定一个身份。不管这身份最后是否值价。名校往往很容易得到别人的尊敬,否则多多少少会有点失落。家长对于孩子从小的教育就是考大学上名校,清华北大应该说一直是所有家长最大的心愿。而且在同学之间也是一个可以炫耀的资本,认为好的学校肯定会有好的将来,能上名校将来的社会地位、人生轨迹也会变的精彩。
名校光环,可以获得比其他人略多些的机遇,信任和尊重。这种信任和尊重,会给人带来另一种正向的心理价值,那就是自信和责任感。那自信是你在上学之初,被北大录取的时候就开始形成了,“我是在激烈竞争中被选择的”,这种被选择的自我认定,会使你更有自信心。
好处二、就业优势 更多成功机会
有数据清晰地显示,虽然有些人看不惯名校生高傲自负的态度,但是我们不能否认名校生有更多的就业机会,更好的优先职业选择,很多好企业只在名校做招聘。
好处三、丰富的高校资源 助你增长见识
毋庸置疑,名校的硬件设施、软件条件绝对是一流的,由于有国家重点支持,而且有慈善人士或校友捐赠,好学校硬件设施不成问题,图书馆图书藏量惊人,而且随时更新,专业学习的实验设备也一应俱全。从教学楼到图书馆、科研室、研究所这些无疑是一些普通院校望尘莫及的。高额的科研项目基金、科研成果丰硕这些成就终究会带领老师和学生在名校的基础上、在前人的基础上登上更高的阶梯。学生在这里可以得到更全面的发展。
名校会带给你更宽广的见识。名校通常有长久的历史,广泛的世界联系,世界上各种政商名流,文化巨匠,有很多机会会被邀请到名校参加活动,发表演讲。你可以亲眼目睹名流风采,亲耳聆听名家演讲,在北大,你可以看到克林顿,普京,李敖,李嘉诚、比尔盖茨、连战等诸多通常只能在电视、杂志和报纸上看到的人物,听见他们的演讲。这些现场演讲的文字你的确也可以在其他地方看见,但是现场的气氛,场景,质感,是文字报道所无法给予的。
好处四、深厚文化的熏陶 雄厚的人脉资源
名校大多是历经岁月的洗礼、积淀文化的精髓发展起来的。良好的校园文化是无声的熏陶、潜移默化的点染,因为良好的文化氛围,能使人们在不知不觉中,自觉自愿地接受教育,这便是“此时无声胜有声”的教育艺术力量。
名校生的社会影响半径更大,得到其他校友提拔与帮助的机会更多,因此名校往往有更强的社会圈子,可以借助于社会圈子得到更多的社会资源。人一生中,有不少机会,来自你的人脉资源。名校能够给你奠定的人脉资源一定会比普通学校强。这是不容置疑的。因为名校校友很大一部分会在官场、商场掌握核心资源。在美国,哈佛、耶鲁、普林斯顿这样的名校,所产生的总统、银行家、诺贝尔奖获得者要远远多于一般大学。虽然你不能直接因为这些得到好处,但是你在这个网络中,你的生活和事业就会有更多的可能性。
好处五、留学优先 争取深造机遇
国内有数的名校生是国外著名高校留学的主力,他们更容易被接收,更容易得到奖学金,也更容易有选择不同的留学学校的机会。名校重视教师和学生的国际交流与合作,也强调与国内其它大学及科研机构的合作与交流。与国内外许多大学及研究机构,建立了实质性、有成效的合作关系。合作的重点是具体科研课题及学生的共同培养等,这些得天独厚的国际资源也是一些普通院校无法比拟的。
好处六、更好的奖学助学机会
名校不乏成功校友,名校出身成功的机会更大。在名校有更多的个人设立的奖学金、助学机会、创业基金。当然也不排除有成功人士要依靠名校的光环赢得更高的社会知名度,主动为名校提供奖学金以及就业实习的机会。另外,名校社团活动更容易得到赞助,很多商家主动要求冠名名校的某个活动,而普通院校的学生就要去跑外联自己搞定了。
(二)院校优先的弊端:专业可能不对口
如果一心想读重点大学,而自己的分数又不是很有竞争力,可能只能选读重点大学的冷门专业。如果这些冷门专业是自己兴趣所在,那还可以;如若这些冷门专业是自己不感兴趣的,考生可能要面临着很多的压力和困难。
专业优先:
(一)好专业的好处
兴趣与特长是学习原动力,如果清楚自己的兴趣或特长,毫无疑问相关的专业学习当然也得心应手。选择一个自己愿意去努力学习的专业,并打算将来可以作为自己人生事业来做的专业,无疑会投入更多的时间和精力去学习去实践。
选择符合自己兴趣的专业还有一个最主要的好处是,将来毕业找工作也能够很顺利找到,毕竟你专业技能学的好,奖学金、优秀称号也很多,综合素质高,招聘单位一定会很乐意把你招收门下。
好处二、职业发展 你事业的起点
专业是学生的标签,“入对行”可以在一定程度上避免日后发生“英雄无用武之地”的感叹。选好专业是求职的最好优势,如果专业完全不符合你要求,进了大学也学不好,选择专业在一定意义上说就是选择职业,选择未来。大学读书只有四年,职业却将伴随你一辈子。
“对某项工作没有兴趣,容易精疲力竭”——如果对自己的工作没有兴趣,或者做起来不顺手,当然生活的质量相应的也就降低了。
现实生活的压力不断加大,人们开始努力寻找最适合自己的生活方式。而一份称心的工作也是所有人都在努力追求的生活目标。这样一来,你掌握的技能则成了你就业的筹码,专业技能、专业水平将再一次主导你的职业发展,做自己喜欢的事,提高生活质量,让你选择用四年时间学习的、自己兴趣所在的专业帮你实现。
好处四、节约时间 你人生的选择
发现了专业不合适再重头开始选择,那么在时间上将是很大的损失——由于对自己的专业不满意,回去重新学习,是对时间极大的浪费,也是对自己的一次考验,你是否还有勇气再一次投入学习,以学生的心态重拾课本。毕业后同学们都在忙于工作,而你却因对工作的不喜欢,再决定重新进修你是否有这样的魄力和胆识。不要让大学的四年悄然消失,却没有为自己留下让你生存生活的筹码。
(二)专业优先的弊端:可能会受限制 沾不到学校名气的光
不少考生后悔当时为了选择自己喜欢的专业没敢报名校,进了学校才发现,无论是学校硬件设施还是校园文化,都跟名校相距甚远,学校没有为学生制定一个好的职业规划和发展蓝图,学习氛围也不浓烈,很多考生会随波逐流,一事无成。毕业时,虽然专业课学的很扎实,却因不是名校出身被无情拦在门外





